| Institución | ||
|---|---|---|
| Disponible desde | Primavera 2010 | |
| Cursos Asociados | Otras realizaciones de este Curso | |
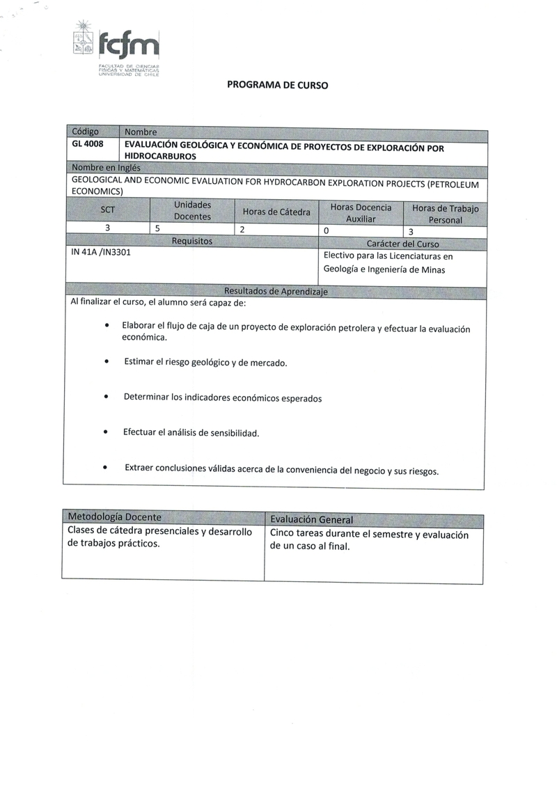
| Programa del Curso | GL4008 2010-1.pdf | |
| Compartir |
| Institución | ||
|---|---|---|
| Disponible desde | Primavera 2010 | |
| Cursos Asociados | Otras realizaciones de este Curso | |
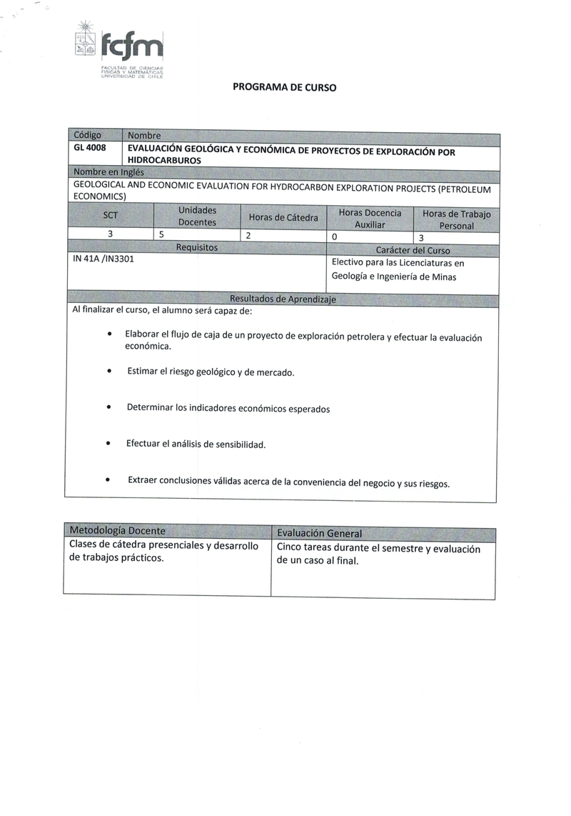
| Programa del Curso | GL4008 2010-1.pdf | |
| Compartir |