Institución Facultad de Cs. Físicas y Matemáticas Facultad de Cs. Físicas y Matemáticas
Disponible desde Primavera 2010
Cursos Asociados Otras realizaciones de este Curso
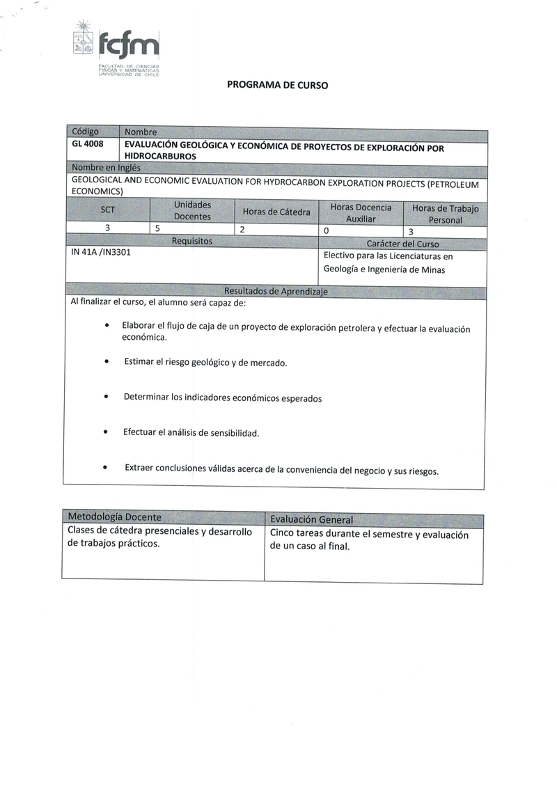
Programa del Curso GL4008 2010-1.pdf
Compartir