U-Cursos ::
GL4008-1 Eval. Geológica y Econ. de Proyectos de Explor. por Hidrocarburos 2011, Primavera
U-Cursos requiere Javascript para su correcto funcionamiento, sin embargo puede entrar al sitio a través de
U-Pasaporte
Compartir
Recargar
Contacto
Entrar
Eval. Geológica y Econ. de Proyectos de Explor. por Hidrocarburos
GL4008-1 - Primavera 2011
Historial
Horario
Integrantes
Material Docente
Presentación
Presentación
Presentación
Institución
Facultad de Cs. Físicas y Matemáticas
Disponible desde
Primavera 2011
Cursos Asociados
Otras realizaciones de este Curso
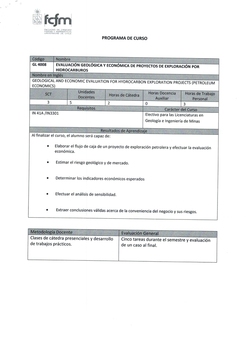
Programa del Curso
GL4008 2010-1.pdf
Compartir
Enlace
Facebook
Twitter
Whatsapp
Telegram
LinkedIn
Código QR