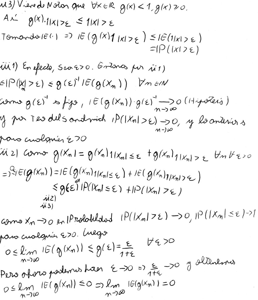
jpg P1-2.jpg

5 Jul 201005/07/10 a las 22:20 hrs.2010-07-05 22:20:05 por Gonzalo E. Mena C.

Reportar Archivo
Descargar 722 kb
...
Categoría Pautas C3
Año 2010
Autor Gonzalo Mena
Última Modificación 5 Jul 201005/07/10 a las 22:20 hrs.2010-07-05 22:20:05
Compartir