Sol p7 - Aux Extra - C4.JPG.jpg
4 Jun 201004/06/10 a las 11:45 hrs.2010-06-04 11:45:04 por
Sebastián Balmaceda
Reportar Archivo
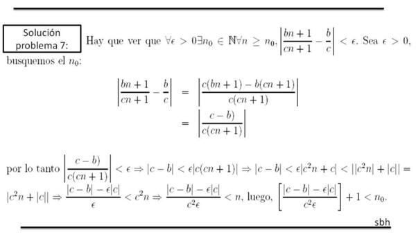
| Descripción | Problema muy ejemplificador |
|---|---|
| Categoría | Pautas |
| Año | 2010 |
| Autor | sbh |
| Última Modificación | 4 Jun 201004/06/10 a las 11:45 hrs.2010-06-04 11:45:04 |
| Compartir |