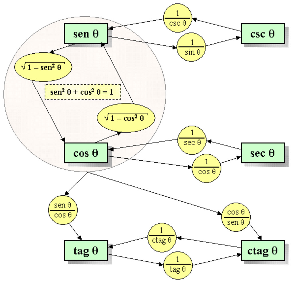
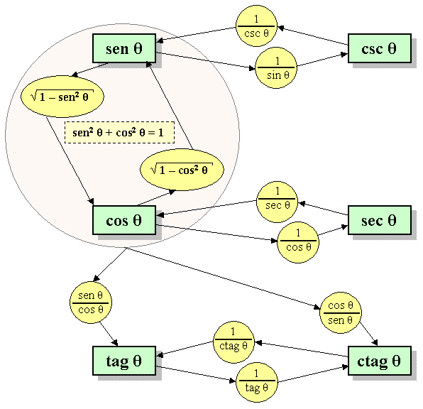
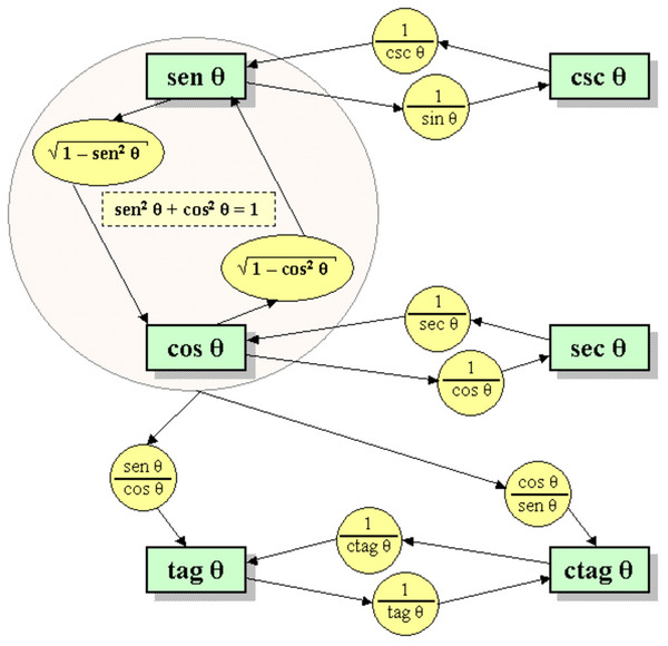
IDENTIDADES.gif
20 Abr 200820/04/08 a las 14:20 hrs.2008-04-20 14:20:20 por
Gustavo Adolfo Castro
Reportar Archivo

Categoría | Libros y Apuntes |
---|---|
Año | 2008 |
Última Modificación | 20 Abr 200820/04/08 a las 14:20 hrs.2008-04-20 14:20:20 |
Compartir |