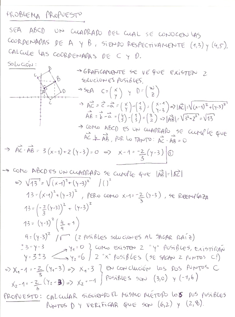
Propuesto Vectores 1.jpg
6 Ene 201006/01/10 a las 08:52 hrs.2010-01-06 08:52:06 por
Óscar Garay G.
Reportar Archivo

Categoría | Guías |
---|---|
Autor | Oscar Garay |
Última Modificación | 6 Ene 201006/01/10 a las 08:52 hrs.2010-01-06 08:52:06 |
Compartir |