T1.3 - p2a.jpg
7 Jun 200807/06/08 a las 00:01 hrs.2008-06-07 00:01:07 por
Jacob Saravia E.
Reportar Archivo
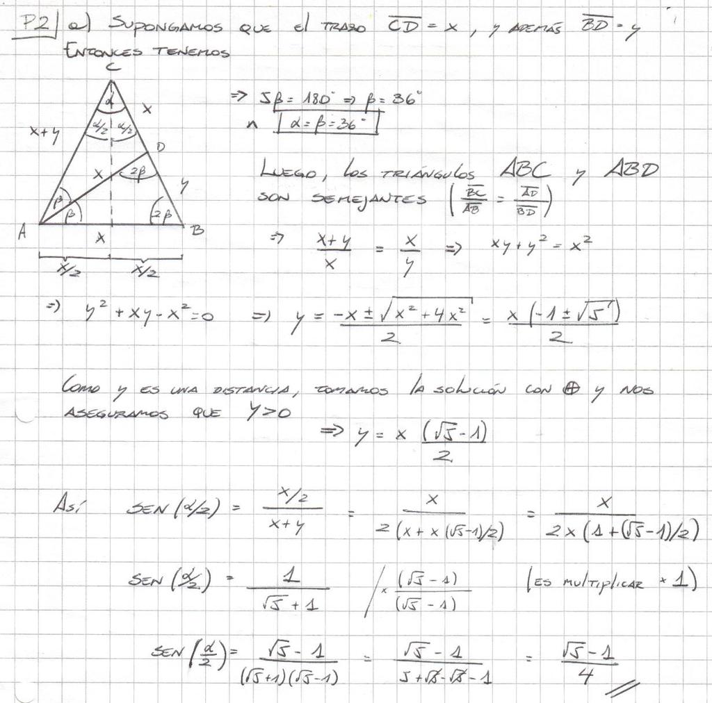
| Descripción | Una solución para que sepan como resolver este tipo de ejercicios. Saludos! Jacob |
|---|---|
| Categoría | Soluciones |
| Año | 2008 |
| Autor | Jacob Saravia |
| Última Modificación | 7 Jun 200807/06/08 a las 00:01 hrs.2008-06-07 00:01:07 |
| Compartir |